© | Dror Bar-Natan: Academic Pensieve: Blackboard Shots: Hogan:
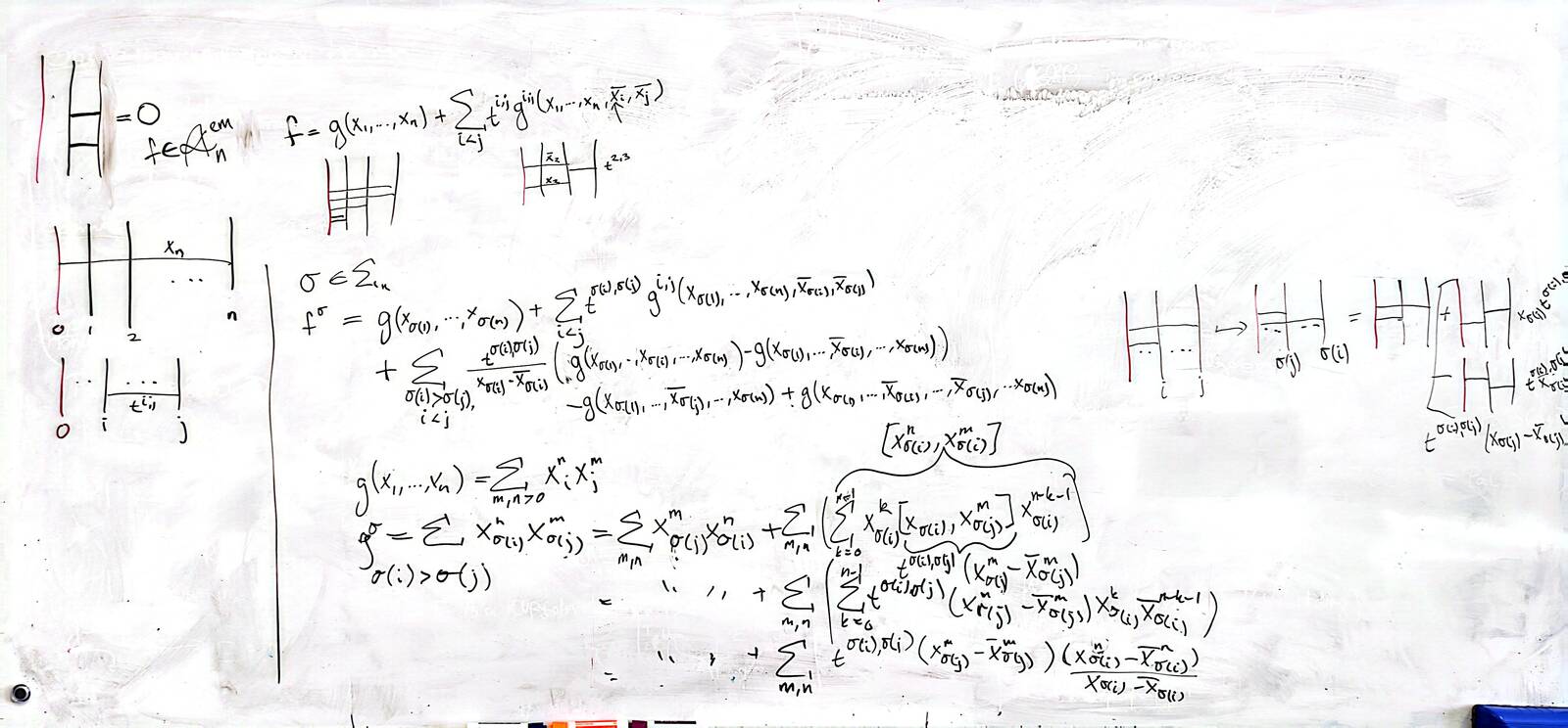
250623-021102: 1-pole formulas.
Random
newer
older
up

cycle text mode
Hogan-{ hide text
  260323-141144: A new collection of ops.
  260209-154648: The covariance theorems.
  260202-151937: The R2c graph.
  251202-114242: Not a pentagon!
  251127-110357: Seifert cycles and boundaries.
  251124-115443: The OTL graph is connected.
  251103-112747: Pushing and pulling (2).
  251027-132653: Pushing and pulling.
  251020-123756: Non-canonical shifted partial quadratics.
  250623-021103: 1-pole formulas (2).
  250623-021102: 1-pole formulas.
  250403-125746: Braidors and beaks (2).
  250327-112821: Braidors and beaks.
  250327-112820: Forget everything and do emergent braids! (3)
  250320-105458: Forget everything and do emergent braids! (2)
  250227-105341: Forget everything and do emergent braids!
  250213-110104: Identifying ${\mathcal B}^{uem}$.
  250206-110340: Identifying ${\mathcal A}^{wem}$ (2).
  250206-110339: Identifying ${\mathcal A}^{wem}$.
  250130-110302: Can uem be recovered from wem?
  250123-112715: Can utr be recovered from w?
  250109-112338: The Goldman bracket in w terms (2).
  241212-115827: The Goldman bracket in w terms.
  241120-142816: R4^wgh trivially holds.
  241016-150259: A conjecture for ${\mathcal A}^{wgh}$ (2).
  241009-145702: A conjecture for ${\mathcal A}^{wgh}$.
  241002-151114: $\hat{b}$ is an isomorphism in the w case?
  240925-151155: Emergent KV.
  240911-150951: Secondary operations (2).
  240904-144958: Secondary operations.
  230718-031411: Goldman-Turaev and Emergent Knots.
  230402-224734: Solving for $\Phi$.
  230329-010028: Computational techniques (2).
  230329-010027: Computational techniques.
  230329-005716: A summary of AKKN (3).
  230309-191604: A summary of AKKN (2).
  230309-191603: A summary of AKKN.
}
Notes for BBS/Hogan-250623-021102.jpg:    [edit]