© | Dror Bar-Natan: Academic Pensieve: Blackboard Shots: 25-347:
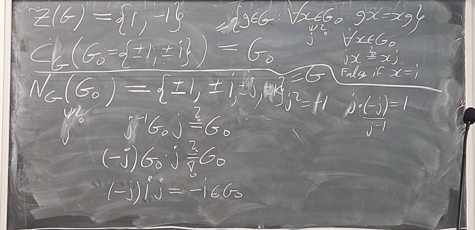
250924-124844: Sep 24 Hours 10-11: The isomorphism theorems (10).
Random
newer
older
up

cycle text mode
25-347-{ hide text
  260123-152457: Jacob on the "ring" of modules (9).
  260123-152456: Jacob on the "ring" of modules (8).
  260123-152455: Jacob on the "ring" of modules (7).
  260123-152454: Jacob on the "ring" of modules (6).
  260123-152453: Jacob on the "ring" of modules (5).
  260123-152452: Jacob on the "ring" of modules (4).
  260123-152451: Jacob on the "ring" of modules (3).
  260123-152450: Jacob on the "ring" of modules (2).
  260123-152449: Jacob on the "ring" of modules.
  260121-145750: Matt on tensor products (18).
  260121-145749: Matt on tensor products (17).
  260121-145748: Matt on tensor products (16).
  260121-145747: Matt on tensor products (15).
  260121-145746: Matt on tensor products (14).
  260121-145745: Matt on tensor products (13).
  260121-145744: Matt on tensor products (12).
  260121-145743: Matt on tensor products (11).
  260121-145742: Matt on tensor products (10).
  260121-145741: Matt on tensor products (9).
  260121-145740: Matt on tensor products (8).
  260121-145739: Matt on tensor products (7).
  260121-145738: Matt on tensor products (6).
  260121-145737: Matt on tensor products (5).
  260121-145736: Matt on tensor products (4).
  260121-145735: Matt on tensor products (3).
  260121-145734: Matt on tensor products (2).
  260121-145733: Matt on tensor products.
  260116-142518: gcd and lcm, the structure theorem (8).
  260116-142517: gcd and lcm, the structure theorem (7).
  260116-142516: gcd and lcm, the structure theorem (6).
  260116-142515: gcd and lcm, the structure theorem (5).
  260116-142514: gcd and lcm, the structure theorem (4).
  260116-142513: gcd and lcm, the structure theorem (3).
  260116-142512: gcd and lcm, the structure theorem (2).
  260116-142511: gcd and lcm, the structure theorem.
  260114-123519: The Euclidean algorithm, modules (20).
  260114-123518: The Euclidean algorithm, modules (19).
  260114-123517: The Euclidean algorithm, modules (18).
  260114-123516: The Euclidean algorithm, modules (17).
  260114-123515: The Euclidean algorithm, modules (16).
  260114-123514: The Euclidean algorithm, modules (15).
  260114-123513: The Euclidean algorithm, modules (14).
  260114-123512: The Euclidean algorithm, modules (13).
  260114-123511: The Euclidean algorithm, modules (12).
  260114-123510: The Euclidean algorithm, modules (11).
  260114-123509: The Euclidean algorithm, modules (10).
  260114-123508: The Euclidean algorithm, modules (9).
  260114-123507: The Euclidean algorithm, modules (8).
  260114-123506: The Euclidean algorithm, modules (7).
  260114-123505: The Euclidean algorithm, modules (6).
  260114-123504: The Euclidean algorithm, modules (5).
  260114-123503: The Euclidean algorithm, modules (4).
  260114-123502: The Euclidean algorithm, modules (3).
  260114-123501: The Euclidean algorithm, modules (2).
  260114-123500: The Euclidean algorithm, modules.
  260109-132328: Odds and ends on UFDs, PIDs, and GCDs (8).
  260109-132327: Odds and ends on UFDs, PIDs, and GCDs (7).
  260109-132326: Odds and ends on UFDs, PIDs, and GCDs (6).
  260109-132325: Odds and ends on UFDs, PIDs, and GCDs (5).
  260109-132324: Odds and ends on UFDs, PIDs, and GCDs (4).
  260109-132323: Odds and ends on UFDs, PIDs, and GCDs (3).
  260109-132322: Odds and ends on UFDs, PIDs, and GCDs (2).
  260109-132321: Odds and ends on UFDs, PIDs, and GCDs.
  260107-123558: Jan 7 H37-38: Rings with similar properties to Z (7).
  260107-123557: Jan 7 H37-38: Rings with similar properties to Z (6).
  260107-123556: Jan 7 H37-38: Rings with similar properties to Z (5).
  260107-123555: Jan 7 H37-38: Rings with similar properties to Z (4).
  260107-123554: Jan 7 H37-38: Rings with similar properties to Z (3).
  260107-123553: Jan 7 H37-38: Rings with similar properties to Z (2).
  260107-123552: Jan 7 H37-38: Rings with similar properties to Z.
  251128-123912: Nov 28 H36: primes and irreducibles (9).
  251128-123911: Nov 28 H36: primes and irreducibles (8).
  251128-123910: Nov 28 H36: primes and irreducibles (7).
  251128-123909: Nov 28 H36: primes and irreducibles (6).
  251128-123908: Nov 28 H36: primes and irreducibles (5).
  251128-123907: Nov 28 H36: primes and irreducibles (4).
  251128-123906: Nov 28 H36: primes and irreducibles (3).
  251128-123905: Nov 28 H36: primes and irreducibles (2).
  251128-123904: Nov 28 H36: primes and irreducibles.
  251126-130900: Nov 26 H34-35: Fields and maximal ideals, domains and prime ideals (13).
  251126-130859: Nov 26 H34-35: Fields and maximal ideals, domains and prime ideals (12).
  251126-130858: Nov 26 H34-35: Fields and maximal ideals, domains and prime ideals (11).
  251126-130857: Nov 26 H34-35: Fields and maximal ideals, domains and prime ideals (10).
  251126-130856: Nov 26 H34-35: Fields and maximal ideals, domains and prime ideals (9).
  251126-130855: Nov 26 H34-35: Fields and maximal ideals, domains and prime ideals (8).
  251126-130854: Nov 26 H34-35: Fields and maximal ideals, domains and prime ideals (7).
  251126-130853: Nov 26 H34-35: Fields and maximal ideals, domains and prime ideals (6).
  251126-130852: Nov 26 H34-35: Fields and maximal ideals, domains and prime ideals (5).
  251126-130851: Nov 26 H34-35: Fields and maximal ideals, domains and prime ideals (4).
  251126-130850: Nov 26 H34-35: Fields and maximal ideals, domains and prime ideals (3).
  251126-130849: Nov 26 H34-35: Fields and maximal ideals, domains and prime ideals (2).
  251126-130848: Nov 26 H34-35: Fields and maximal ideals, domains and prime ideals.
  251121-134449: Nov 21 H33: Quotients, iso theorems, fields (7).
  251121-134448: Nov 21 H33: Quotients, iso theorems, fields (6).
  251121-134447: Nov 21 H33: Quotients, iso theorems, fields (5).
  251121-134446: Nov 21 H33: Quotients, iso theorems, fields (4).
  251121-134445: Nov 21 H33: Quotients, iso theorems, fields (3).
  251121-134444: Nov 21 H33: Quotients, iso theorems, fields (2).
  251121-134443: Nov 21 H33: Quotients, iso theorems, fields.
  251119-170142: Nov 19 H31-32: Morphisms of rings, Cayley-Hamilton, ideals, quotients (12).
  251119-170141: Nov 19 H31-32: Morphisms of rings, Cayley-Hamilton, ideals, quotients (11).
  251119-170140: Nov 19 H31-32: Morphisms of rings, Cayley-Hamilton, ideals, quotients (10).
  251119-170139: Nov 19 H31-32: Morphisms of rings, Cayley-Hamilton, ideals, quotients (9).
  251119-170138: Nov 19 H31-32: Morphisms of rings, Cayley-Hamilton, ideals, quotients (8).
  251119-170137: Nov 19 H31-32: Morphisms of rings, Cayley-Hamilton, ideals, quotients (7).
  251119-170136: Nov 19 H31-32: Morphisms of rings, Cayley-Hamilton, ideals, quotients (6).
  251119-170135: Nov 19 H31-32: Morphisms of rings, Cayley-Hamilton, ideals, quotients (5).
  251119-170134: Nov 19 H31-32: Morphisms of rings, Cayley-Hamilton, ideals, quotients (4).
  251119-170133: Nov 19 H31-32: Morphisms of rings, Cayley-Hamilton, ideals, quotients (3).
  251119-170132: Nov 19 H31-32: Morphisms of rings, Cayley-Hamilton, ideals, quotients (2).
  251119-170131: Nov 19 H31-32: Morphisms of rings, Cayley-Hamilton, ideals, quotients.
  251114-123918: Nov 14 H30: Rings (6).
  251114-123917: Nov 14 H30: Rings (5).
  251114-123916: Nov 14 H30: Rings (4).
  251114-123915: Nov 14 H30: Rings (3).
  251114-123914: Nov 14 H30: Rings (2).
  251114-123913: Nov 14 H30: Rings.
  251112-125621: Nov 12 H28-29: Proof of the structure theorem for finitely generated Abelian groups (11).
  251112-125620: Nov 12 H28-29: Proof of the structure theorem for finitely generated Abelian groups (10).
  251112-125619: Nov 12 H28-29: Proof of the structure theorem for finitely generated Abelian groups (9).
  251112-125618: Nov 12 H28-29: Proof of the structure theorem for finitely generated Abelian groups (8).
  251112-125617: Nov 12 H28-29: Proof of the structure theorem for finitely generated Abelian groups (7).
  251112-125616: Nov 12 H28-29: Proof of the structure theorem for finitely generated Abelian groups (6).
  251112-125615: Nov 12 H28-29: Proof of the structure theorem for finitely generated Abelian groups (5).
  251112-125614: Nov 12 H28-29: Proof of the structure theorem for finitely generated Abelian groups (4).
  251112-125613: Nov 12 H28-29: Proof of the structure theorem for finitely generated Abelian groups (3).
  251112-125612: Nov 12 H28-29: Proof of the structure theorem for finitely generated Abelian groups (2).
  251112-125611: Nov 12 H28-29: Proof of the structure theorem for finitely generated Abelian groups.
  251107-162926: Nov 7 H27: FG Abelian groups and integer matrices (7).
  251107-162925: Nov 7 H27: FG Abelian groups and integer matrices (6).
  251107-162924: Nov 7 H27: FG Abelian groups and integer matrices (5).
  251107-162923: Nov 7 H27: FG Abelian groups and integer matrices (4).
  251107-162922: Nov 7 H27: FG Abelian groups and integer matrices (3).
  251107-162921: Nov 7 H27: FG Abelian groups and integer matrices (2).
  251107-162920: Nov 7 H27: FG Abelian groups and integer matrices.
  251105-133931: Nov 5 H25-26: $|G|=12$, free groups, $\pi_1$, and braids (12).
  251105-133930: Nov 5 H25-26: $|G|=12$, free groups, $\pi_1$, and braids (11).
  251105-133929: Nov 5 H25-26: $|G|=12$, free groups, $\pi_1$, and braids (10).
  251105-133928: Nov 5 H25-26: $|G|=12$, free groups, $\pi_1$, and braids (9).
  251105-133927: Nov 5 H25-26: $|G|=12$, free groups, $\pi_1$, and braids (8).
  251105-133926: Nov 5 H25-26: $|G|=12$, free groups, $\pi_1$, and braids (7).
  251105-133925: Nov 5 H25-26: $|G|=12$, free groups, $\pi_1$, and braids (6).
  251105-133924: Nov 5 H25-26: $|G|=12$, free groups, $\pi_1$, and braids (5).
  251105-133923: Nov 5 H25-26: $|G|=12$, free groups, $\pi_1$, and braids (4).
  251105-133922: Nov 5 H25-26: $|G|=12$, free groups, $\pi_1$, and braids (3).
  251105-133921: Nov 5 H25-26: $|G|=12$, free groups, $\pi_1$, and braids (2).
  251105-133920: Nov 5 H25-26: $|G|=12$, free groups, $\pi_1$, and braids.
  251024-151738: Oct 24 H24: More semi-direct products (5).
  251024-151737: Oct 24 H24: More semi-direct products (4).
  251024-151736: Oct 24 H24: More semi-direct products (3).
  251024-151735: Oct 24 H24: More semi-direct products (2).
  251024-151734: Oct 24 H24: More semi-direct products.
  251023-062249: Oct 22 H22-23: Groups of order 21, semi-direct products (11).
  251023-062248: Oct 22 H22-23: Groups of order 21, semi-direct products (10).
  251023-062247: Oct 22 H22-23: Groups of order 21, semi-direct products (9).
  251023-062246: Oct 22 H22-23: Groups of order 21, semi-direct products (8).
  251023-062245: Oct 22 H22-23: Groups of order 21, semi-direct products (7).
  251023-062244: Oct 22 H22-23: Groups of order 21, semi-direct products (6).
  251023-062243: Oct 22 H22-23: Groups of order 21, semi-direct products (5).
  251023-062242: Oct 22 H22-23: Groups of order 21, semi-direct products (4).
  251023-062241: Oct 22 H22-23: Groups of order 21, semi-direct products (3).
  251023-062240: Oct 22 H22-23: Groups of order 21, semi-direct products (2).
  251023-062239: Oct 22 H22-23: Groups of order 21, semi-direct products.
  251017-223649: Oct 17 H21: Proof of Sylow (6).
  251017-223648: Oct 17 H21: Proof of Sylow (5).
  251017-223647: Oct 17 H21: Proof of Sylow (4).
  251017-223646: Oct 17 H21: Proof of Sylow (3).
  251017-223645: Oct 17 H21: Proof of Sylow (2).
  251017-223644: Oct 17 H21: Proof of Sylow.
  251015-124826: Oct 15 H19-20: The Sylow Theorem, groups of order 15 (11).
  251015-124825: Oct 15 H19-20: The Sylow Theorem, groups of order 15 (10).
  251015-124824: Oct 15 H19-20: The Sylow Theorem, groups of order 15 (9).
  251015-124823: Oct 15 H19-20: The Sylow Theorem, groups of order 15 (8).
  251015-124822: Oct 15 H19-20: The Sylow Theorem, groups of order 15 (7).
  251015-124821: Oct 15 H19-20: The Sylow Theorem, groups of order 15 (6).
  251015-124820: Oct 15 H19-20: The Sylow Theorem, groups of order 15 (5).
  251015-124819: Oct 15 H19-20: The Sylow Theorem, groups of order 15 (4).
  251015-124818: Oct 15 H19-20: The Sylow Theorem, groups of order 15 (3).
  251015-124817: Oct 15 H19-20: The Sylow Theorem, groups of order 15 (2).
  251015-124816: Oct 15 H19-20: The Sylow Theorem, groups of order 15.
  251010-131519: Oct 10 Hour 18: More group actions (7).
  251010-131518: Oct 10 Hour 18: More group actions (6).
  251010-131517: Oct 10 Hour 18: More group actions (5).
  251010-131516: Oct 10 Hour 18: More group actions (4).
  251010-131515: Oct 10 Hour 18: More group actions (3).
  251010-131514: Oct 10 Hour 18: More group actions (2).
  251010-131513: Oct 10 Hour 18: More group actions.
  251008-130335: Oct 8 Hours 16-17: Proof of Jordan-Holder, group actions (13).
  251008-130334: Oct 8 Hours 16-17: Proof of Jordan-Holder, group actions (12).
  251008-130333: Oct 8 Hours 16-17: Proof of Jordan-Holder, group actions (11).
  251008-130332: Oct 8 Hours 16-17: Proof of Jordan-Holder, group actions (10).
  251008-130331: Oct 8 Hours 16-17: Proof of Jordan-Holder, group actions (9).
  251008-130330: Oct 8 Hours 16-17: Proof of Jordan-Holder, group actions (8).
  251008-130329: Oct 8 Hours 16-17: Proof of Jordan-Holder, group actions (7).
  251008-130328: Oct 8 Hours 16-17: Proof of Jordan-Holder, group actions (6).
  251008-130327: Oct 8 Hours 16-17: Proof of Jordan-Holder, group actions (5).
  251008-130326: Oct 8 Hours 16-17: Proof of Jordan-Holder, group actions (4).
  251008-130325: Oct 8 Hours 16-17: Proof of Jordan-Holder, group actions (3).
  251008-130324: Oct 8 Hours 16-17: Proof of Jordan-Holder, group actions (2).
  251008-130323: Oct 8 Hours 16-17: Proof of Jordan-Holder, group actions.
  251003-150050: Oct 3 Hour 15: Simplicity of $A_n$, Jordan-Holder (6).
  251003-150049: Oct 3 Hour 15: Simplicity of $A_n$, Jordan-Holder (5).
  251003-150048: Oct 3 Hour 15: Simplicity of $A_n$, Jordan-Holder (4).
  251003-150047: Oct 3 Hour 15: Simplicity of $A_n$, Jordan-Holder (3).
  251003-150046: Oct 3 Hour 15: Simplicity of $A_n$, Jordan-Holder (2).
  251003-150045: Oct 3 Hour 15: Simplicity of $A_n$, Jordan-Holder.
  251001-123333: Oct 1 Hours 13-14: Simple groups, signs of permutations, the simplicity of $A_n$ (10).
  251001-123332: Oct 1 Hours 13-14: Simple groups, signs of permutations, the simplicity of $A_n$ (9).
  251001-123331: Oct 1 Hours 13-14: Simple groups, signs of permutations, the simplicity of $A_n$ (8).
  251001-123330: Oct 1 Hours 13-14: Simple groups, signs of permutations, the simplicity of $A_n$ (7).
  251001-123329: Oct 1 Hours 13-14: Simple groups, signs of permutations, the simplicity of $A_n$ (6).
  251001-123328: Oct 1 Hours 13-14: Simple groups, signs of permutations, the simplicity of $A_n$ (5).
  251001-123327: Oct 1 Hours 13-14: Simple groups, signs of permutations, the simplicity of $A_n$ (4).
  251001-123326: Oct 1 Hours 13-14: Simple groups, signs of permutations, the simplicity of $A_n$ (3).
  251001-123325: Oct 1 Hours 13-14: Simple groups, signs of permutations, the simplicity of $A_n$ (2).
  251001-123324: Oct 1 Hours 13-14: Simple groups, signs of permutations, the simplicity of $A_n$.
  250926-130020: Sep 26 Hour 12: The 2nd and 3rd Isomorphism Theorem (6).
  250926-130019: Sep 26 Hour 12: The 2nd and 3rd Isomorphism Theorem (5).
  250926-130018: Sep 26 Hour 12: The 2nd and 3rd Isomorphism Theorem (4).
  250926-130017: Sep 26 Hour 12: The 2nd and 3rd Isomorphism Theorem (3).
  250926-130016: Sep 26 Hour 12: The 2nd and 3rd Isomorphism Theorem (2).
  250926-130015: Sep 26 Hour 12: The 2nd and 3rd Isomorphism Theorem.
  250924-124845: Sep 24 Hours 10-11: The isomorphism theorems (11).
  250924-124844: Sep 24 Hours 10-11: The isomorphism theorems (10).
  250924-124843: Sep 24 Hours 10-11: The isomorphism theorems (9).
  250924-124842: Sep 24 Hours 10-11: The isomorphism theorems (8).
  250924-124841: Sep 24 Hours 10-11: The isomorphism theorems (7).
  250924-124840: Sep 24 Hours 10-11: The isomorphism theorems (6).
  250924-124839: Sep 24 Hours 10-11: The isomorphism theorems (5).
  250924-124838: Sep 24 Hours 10-11: The isomorphism theorems (4).
  250924-124837: Sep 24 Hours 10-11: The isomorphism theorems (3).
  250924-124836: Sep 24 Hours 10-11: The isomorphism theorems (2).
  250924-124835: Sep 24 Hours 10-11: The isomorphism theorems.
  250919-131432: Sep 19 Hour 9: The quotient group construction (8).
  250919-131431: Sep 19 Hour 9: The quotient group construction (7).
  250919-131430: Sep 19 Hour 9: The quotient group construction (6).
  250919-131429: Sep 19 Hour 9: The quotient group construction (5).
  250919-131428: Sep 19 Hour 9: The quotient group construction (4).
  250919-131427: Sep 19 Hour 9: The quotient group construction (3).
  250919-131426: Sep 19 Hour 9: The quotient group construction (2).
  250919-131425: Sep 19 Hour 9: The quotient group construction.
  250917-122528: Sep 17 Hours 7-8: Homomorphisms, conjugations, kernels, images, normal subgroups (18).
  250917-122527: Sep 17 Hours 7-8: Homomorphisms, conjugations, kernels, images, normal subgroups (17).
  250917-122526: Sep 17 Hours 7-8: Homomorphisms, conjugations, kernels, images, normal subgroups (16).
  250917-122525: Sep 17 Hours 7-8: Homomorphisms, conjugations, kernels, images, normal subgroups (15).
  250917-122524: Sep 17 Hours 7-8: Homomorphisms, conjugations, kernels, images, normal subgroups (14).
  250917-122523: Sep 17 Hours 7-8: Homomorphisms, conjugations, kernels, images, normal subgroups (13).
  250917-122522: Sep 17 Hours 7-8: Homomorphisms, conjugations, kernels, images, normal subgroups (12).
  250917-122521: Sep 17 Hours 7-8: Homomorphisms, conjugations, kernels, images, normal subgroups (11).
  250917-122520: Sep 17 Hours 7-8: Homomorphisms, conjugations, kernels, images, normal subgroups (10).
  250917-122519: Sep 17 Hours 7-8: Homomorphisms, conjugations, kernels, images, normal subgroups (9).
  250917-122518: Sep 17 Hours 7-8: Homomorphisms, conjugations, kernels, images, normal subgroups (8).
  250917-122517: Sep 17 Hours 7-8: Homomorphisms, conjugations, kernels, images, normal subgroups (7).
  250917-122516: Sep 17 Hours 7-8: Homomorphisms, conjugations, kernels, images, normal subgroups (6).
  250917-122515: Sep 17 Hours 7-8: Homomorphisms, conjugations, kernels, images, normal subgroups (5).
  250917-122514: Sep 17 Hours 7-8: Homomorphisms, conjugations, kernels, images, normal subgroups (4).
  250917-122513: Sep 17 Hours 7-8: Homomorphisms, conjugations, kernels, images, normal subgroups (3).
  250917-122512: Sep 17 Hours 7-8: Homomorphisms, conjugations, kernels, images, normal subgroups (2).
  250917-122511: Sep 17 Hours 7-8: Homomorphisms, conjugations, kernels, images, normal subgroups.
  250912-162547: Sep 12 Hour 6: End of NCGE, homomorphisms (9).
  250912-162544: Sep 12 Hour 6: End of NCGE, homomorphisms (8).
  250912-162540: Sep 12 Hour 6: End of NCGE, homomorphisms (7).
  250912-162537: Sep 12 Hour 6: End of NCGE, homomorphisms (6).
  250912-162534: Sep 12 Hour 6: End of NCGE, homomorphisms (5).
  250912-162530: Sep 12 Hour 6: End of NCGE, homomorphisms (4).
  250912-162528: Sep 12 Hour 6: End of NCGE, homomorphisms (3).
  250912-162525: Sep 12 Hour 6: End of NCGE, homomorphisms (2).
  250912-162522: Sep 12 Hour 6: End of NCGE, homomorphisms.
  250910-115809: Sep 10 Hours 4-5: Even more Non-Commutative Gaussian Elimination (7).
  250910-114325: Sep 10 Hours 4-5: Even more Non-Commutative Gaussian Elimination (6).
  250910-113126: Sep 10 Hours 4-5: Even more Non-Commutative Gaussian Elimination (5).
  250910-112545: Sep 10 Hours 4-5: Even more Non-Commutative Gaussian Elimination (4).
  250910-105510: Sep 10 Hours 4-5: Even more Non-Commutative Gaussian Elimination (3).
  250910-105004: Sep 10 Hours 4-5: Even more Non-Commutative Gaussian Elimination (2).
  250910-104537: Sep 10 Hours 4-5: Even more Non-Commutative Gaussian Elimination.
  250905-122041: Sep 5 Hour 3: More Non-Commutative Gaussian Elimination (3).
  250905-122040: Sep 5 Hour 3: More Non-Commutative Gaussian Elimination (2).
  250905-122039: Sep 5 Hour 3: More Non-Commutative Gaussian Elimination.
}
Notes for BBS/25-347-250924-124844.jpg:    [edit]